Volume 8 - Year 2025- Pages 106-113
DOI: 10.11159/ijci.2025.011
Identification of Key Geotechnical Parameters in Expansive Clay Soils: A Preliminary Approach
William Araujo1, Gaby Ruiz1
1Universidad de Piura
Av. Ramón Mugica 131. Urb. San Eduardo, Piura, Peru
william.araujo@udep.edu.pe; gaby.ruiz@udep.edu.pe
Abstract - This study assessed the key factors influencing the applicability of prediction methods and the development of regional models for expansive clayey soils in Marcavelica and Paita Baja, Piura. Through sample characterisation tests and correlation analysis, the study focused on understanding how soil properties relate to expansion parameters. Both areas are dominated by montmorillonite clay, which exhibits medium to high expansion potential. In Marcavelica, the plasticity index, liquid limit, and dry unit weight were identified as the most influential factors affecting the expansion percentage and expansion pressure. In Paita Baja, the shrinkage limit, fines content, and activity significantly influenced the expansion percentage, while expansion pressure was correlated with unit weight and void ratio. The findings emphasise the importance of a preliminary evaluation of local factors before applying prediction models, as the influence of parameters can vary even with the same mineralogical composition of clay, which is otherwise expected to exhibit similar behaviour.
Keywords: Expansive soils, clay characterisation, expansion prediction.
© Copyright 2025 Authors - This is an Open Access article published under the Creative Commons Attribution License terms. Unrestricted use, distribution, and reproduction in any medium are permitted, provided the original work is properly cited.
Date Received: 2024-05-30
Date Revised: 2025-08-07
Date Accepted: 2025-08-28
Date Published: 2025-09-25
1. Introduction
Expansive clays are problematic soils because they undergo significant volume changes when absorbing or losing water. These variations cause adverse effects on structures such as buildings, pavements, and other civil works, due to their unpredictable behaviour. The problem is particularly severe in regions with strong seasonal fluctuations in rainfall and temperature. According to [1], the differential movements caused by soil expansion and contraction can lead to structural cracks, foundation failures, and deformations. Such effects represent a major challenge in geotechnical engineering.
In northern Peru, expansive clays have caused recurrent problems in both coastal regions and inter-Andean valleys. These areas contain soils with high plasticity and expansive clay minerals such as montmorillonite (a mineral that absorbs water between its layers and swells). Research by [2] has reported repeated structural damage to adobe and concrete buildings in Piura and Lambayeque. The situation is aggravated by extreme climatic events such as El Niño. During intense rainfall, soil becomes saturated, increasing its expansion potential and negatively affecting urban and rural structures. Figure 1a shows a vertical and diagonal crack in a wall, typical of failures caused by differential settlement on expansive soils in Sullana. Figure 1b presents another example: a vertical crack inclined at approximately 45°, about 2 mm wide, located between a door and a window. This damage originated from the vertical movement of the frame due to soil expansion or settlement.

To address the challenges posed by expansive clays, it is essential to evaluate the key factors that influence their behaviour. This evaluation provides the basis for developing effective prediction models. An early analysis of geotechnical variables allows a clearer understanding of the conditions that contribute to soil expansivity. According to [3], predictive tools built on local data are particularly important in vulnerable regions such as northern Peru, where they help optimise resources and reduce future damage.
The objective of this research is to identify and analyse the critical variables affecting clay expansivity in northern Peru. These findings provide a foundation for more accurate predictions and practical management strategies. Ultimately, prioritising thorough preliminary assessments can improve safety and sustainability in engineering projects exposed to expansive soils.
2. Review of prediction models
Prediction models for assessing the degree of expansion in clays are essential tools in geotechnical engineering, as they simplify the analysis process, reduce the costs associated with field or laboratory tests, and provide results close to actual values. According to [4], these models efficiently predict the expansive behaviour of soils, facilitating decision-making in construction projects and preventing future issues. They also represent an economical and practical alternative, especially in regions where resources for detailed studies are limited.
From a chronological perspective, prediction models have undergone significant evolution in recent decades. In the 1970s, early models primarily relied on empirical correlations between plasticity indices and expansive behaviour [5]. By the 1990s, advances in mineralogical characterisation led to the inclusion of X-ray diffraction analysis and montmorillonite content as key variables [3]. More recently, models have adopted more complex approaches, such as artificial intelligence and machine learning algorithms, to improve prediction accuracy [1].
The analysis of these models reveals that while the early approaches were useful as initial approximations, they had limitations in their predictive capacity due to the omission of local geological and climatic factors. In contrast, modern models have improved accuracy by incorporating a broader range of variables and advanced data processing techniques. However, their implementation may require technological infrastructure and specialized knowledge, which could limit their use in developing regions [4].
Among the most common variables used in these models are liquid limit (LL), plasticity index (PI), and clay content, which indicate the soil’s expansion potential. On the other hand, more recent models have integrated innovative variables such as swell pressure, undrained strength, and climatic factors such as aridity indices and precipitation patterns [1]. These advancements allow for a more comprehensive soil characterization and more reliable predictions tailored to the specific conditions of the environment.
3. Field sampling and laboratory testing
3.1. Study Area and Field Sampling
The study encompassed two main areas, selected based on their geological and climatic characteristics favourable to the presence of expansive soils (Figure 2).
The first area is located in the Marcavelica district, Sullana, Piura, Peru. This district features a tropical arid climate with marked seasonal variations that affect soil moisture, characterised by rainfall from January to April and droughts during the rest of the year. Geological studies revealed that the area is underlain by deposits from the Cenozoic era, specifically the Neogene and the Miramar Formation, with a notable presence of clay in the soil (16.5%) and subsoil (18.9%). The selection of sampling areas in this zone was based on an expansive soil zoning map developed by [2]. To obtain representative results, 10 sampling points were delineated (M1, M2, M3, M4, M5, M6, M7, M8, M9, and M10), avoiding altered soils.
The second area is located in Paita Baja, Paita district, Paita province, Piura department, Peru. Previous research and geological maps indicated formations of expansive clays rich in sodium montmorillonite with a high degree of expansion, situated on the steep slopes surrounding the city. Among the most affected sectors are San Rafael and settlements such as Alan García and Nueva Esperanza. These soils are associated with recent Quaternary deposits composed of fine materials (silts and clays) with medium to high plasticity, corresponding to the Chira geological unit. For this study, 10 test pits were strategically excavated: four in the lower part of Paita (C3, C4, C9, and C10) and six on the hillsides (C1, C2, C5, C6, C7, and C8). This design allowed coverage of the most representative areas while avoiding zones altered by human activities.
The distribution of boreholes in both areas is shown in Figure 2. Similarly, Table 1 provides the UTM (Universal Transverse Mercator) coordinates of the 20 boreholes performed.
Table 1. UTM Coordinates of the boreholes
Zone |
Code |
Easting (m) |
Northing (m) |
17S |
M1 |
533510 |
9461650 |
17S |
M2 |
533526 |
9461568 |
17S |
M3 |
533523 |
9461589 |
17S |
M4 |
533546 |
9461566 |
17S |
M5 |
533529 |
9461562 |
17S |
M6 |
533518 |
9461579 |
17S |
M7 |
533455 |
9461663 |
17S |
M8 |
533434 |
9461662 |
17S |
M9 |
533427 |
9461543 |
17S |
M10 |
533456 |
9461567 |
17S |
C1 |
487206 |
9437987 |
17S |
C2 |
487210 |
9437015 |
17S |
C3 |
487809 |
9437614 |
17S |
C4 |
487783 |
9437631 |
17S |
C5 |
487160 |
9437801 |
17S |
C6 |
487085 |
9437447 |
17S |
C7 |
487604 |
9436991 |
17S |
C8 |
487417 |
9436933 |
17S |
C9 |
488259 |
9437827 |
17S |
C10 |
488329 |
9437874 |
3.2. Laboratory Tests
Laboratory tests were conducted on the field samples to determine the basic physical properties of the clays, such as particle size distribution, plasticity limits, specific gravity, and moisture content. According to the AASHTO classification, all samples were identified as clayey (groups A-6 and A-7), while the SUCS system categorised them mainly as clays (CL and CH) and silts (ML and MH). Figure 3 presents the liquid limit (LL) and expansivity tests performed in the laboratory.
Expansion tests revealed that the expansion percentage of the samples ranged from medium to high, while the expansion pressure varied between 0.38 and 3.14 kg/cm², classified as medium to high. This behaviour confirmed the expansive potential of the soil. Additionally, it was observed that the initial moisture content significantly influences the expansion percentage, with higher expansion observed in soils with low water content. However, expansion pressure was found to be less sensitive to these variations and was considered a more reliable parameter for assessing soil expansivity.
An evaluation of the mineralogical composition of the soil was conducted to understand its behaviour, providing detailed insights into its geotechnical properties. Established indirect methods (see Table 2) were employed to ensure robust and reliable characterisation, as proposed by Sridharan and Prakash [7], Skempton [8], Das [9], and Holtz and Kovacs [10]. The findings revealed that montmorillonite is the predominant mineral, identified in all samples following the criteria outlined by [7] and [9]. Illite and kaolinite indicate diverse soil composition.


Table 2: Indirect prediction methods for expansive clays
Author |
Parameter |
Low expansion |
Medium expansion |
High expansion |
Very high expansion |
Skempton (1953) |
A |
< 0.75 |
0.75 – 1.25 |
> 1.25 |
|
Hotz and Kovacs (1956) |
IP |
< 18 |
15 – 28 |
25 – 41 |
> 35 |
LC |
> 15 |
10 – 16 |
7 – 12 |
< 11 |
|
c |
< 15 |
13 – 23 |
20 – 33 |
> 28 |
|
Raman (1967) |
IP |
< 12 |
12 – 23 |
23 – 32 |
> 32 |
IC |
< 15 |
15 – 30 |
30 – 40 |
> 40 |
|
Sridharan and Prakash (1973) |
IP |
< 18 |
15 – 25 |
25 – 41 |
> 35 |
LL |
20 – 35 |
35 – 50 |
50 – 70 |
> 70 |
|
LC |
> 15 |
10 – 15 |
7 – 12 |
< 11 |
|
Chen (1988) |
IP |
0 – 15 |
10 – 35 |
20 – 55 |
> 35 |
Pitts (1984) and Kalantari (1991) |
IP |
< 25 |
25 – 35 |
> 35 |
|
LL |
< 50 |
50 – 60 |
> 60 |
||
Gonzales de Vallejo (2002) |
IP |
< 30 |
30 – 60 |
60 – 95 |
> 95 |
LL |
< 35 |
35 – 60 |
60 – 65 |
> 65 |
|
Norma Técnica E.050 Suelos y cimentaciones (2018) |
IP |
< 20 |
12 – 34 |
23 – 45 |
> 32 |
c |
< 17 |
12 – 27 |
18 – 37 |
> 37 |
4. Selection of Predictor Variables
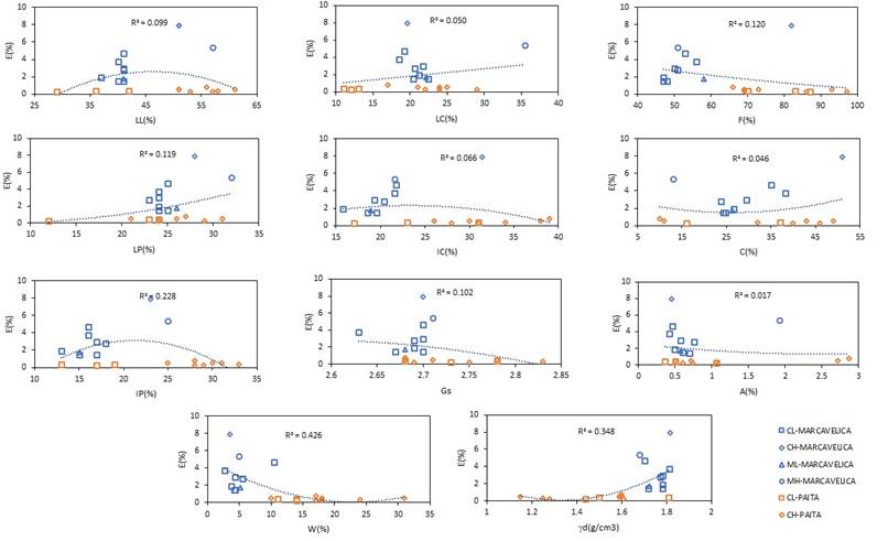
4.1. Expansion percentage
Figure 4 presents the analysis of the expansion percentage (E) as a function of various soil parameters, showing how geotechnical properties influence expansive behaviour. In general, soils with higher plasticity, such as those classified as CH and MH, exhibit higher expansion levels, while soils with lower plasticity, like CL and ML, show reduced expansion, highlighting the direct influence of plasticity on expansiveness [11,12].
The shrinkage limit (LC) initially shows a weak relationship with the expansion percentage; however, when considering only CL samples, a moderate negative trend is observed, suggesting a complex behaviour that a parabolic curve could model. On the other hand, the shrinkage index (IC) presents a more significant positive correlation with E, especially in CH soils, emphasising the relevance of this parameter in their expansive behaviour.
Regarding specific gravity (Gs), the correlation is weak but improves when the data is fitted to a parabolic model, becoming more evident in samples with Gs values higher than 2.65. The fines percentage (F) reveals a moderate positive correlation, with CH soils that have more than 80% fines tending to higher expansions, aligning with previous studies that relate fines content to expansiveness.
Clay content (C) initially shows a positive linear relationship with E; however, when adjusted to a parabolic model, a more robust determination coefficient is obtained, confirming its role as a primary predictor of expansiveness [13]. In the case of activity (A), the relationship with E is weak and, in some cases, contradictory to what is reported in the literature; however, a third-degree polynomial fit improves interpretation.
Finally, the moisture content (W) exhibits a parabolic trend, with higher expansions observed in dry clays with a moisture content below 10%, which is consistent with previous research. Regarding dry unit weight (γd), a strong parabolic relationship is identified, indicating that more compacted soils, with densities greater than 1.75 g/cm³, tend to exhibit greater expansiveness.
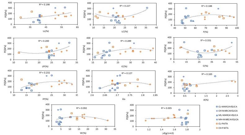
4.2. Expansion percentage
Figure 5 shows the relationship between the expansion pressure (PE) and various soil parameters, highlighting significant trends in some cases, although several correlations remain weak. The results indicate that plasticity is a key factor in expansion, as reflected in the Atterberg limits. For example, the correlation between the liquid limit (LL) and PE is moderate (R²=0.198), confirming its influence on this behaviour. Regarding the plastic limit (LP), the correlation is similar (R²=0.200), while the plasticity index (PI) improves slightly, with an R² of 0.232, emphasising the relevance of plasticity in expansion pressure. This finding aligns with recent studies applying symbolic regression and advanced modelling for swelling pressure prediction [14, 15].
The shrinkage limit (LC) exhibits a higher relationship with PE (R²=0.227), suggesting that this parameter has a moderate impact on expansive clayey soils. On the other hand, the shrinkage index (SI) presents a somewhat higher correlation than in previous analyses (R²=0.289), indicating a more significant relationship with expansion pressure.
The fines percentage (F) shows a low correlation with PE (R²=0.188), but when analysing CH soils, the fines content appears to align with higher expansion pressures. On the other hand, clay content (C) presents the highest correlation (R²=0.331), reinforcing its importance as a determining factor for expansion pressure in soils dominated by clay minerals.


In terms of specific gravity (Gs), the relationship remains weak (R²=0.127), while clay activity (A) continues to show a marginal correlation with PE (R²=0.165). On the other hand, moisture content (W) stands out for its parabolic trend and moderate correlation (R²=0.092), highlighting the influence of initial moisture conditions on expansion levels. Finally, dry unit weight (γd) shows a minimal correlation (R²=0.005), contrasting with other analysed parameters. Tables 3 and 4 present the correlations between the parameters of the expansive clay soils studied, with expansion pressure and expansion percentage, respectively.
Table 3. Correlations between the parameters of the expansive clays with expansion pressure PE [kPa]
R2 |
Type of correlation |
Parameter |
0.33 |
Polynomial |
c |
0.29 |
Polynomial |
IC |
0.23 |
Polynomial |
IP |
0.23 |
Lineal |
LC |
0.20 |
Polynomial |
LP |
0.20 |
Polynomial |
LL |
0.19 |
Polynomial |
F |
0.17 |
Lineal |
A |
0.13 |
Polynomial |
Gs |
0.09 |
Polynomial |
w |
0.01 |
Lineal |
gd |
Table 4. Correlations between the parameters of the expansive clays with expansion pressure E[%]
R2 |
Type of correlation |
Parameter |
0.43 |
Polynomial |
w |
0.35 |
Polynomial |
gd |
0.23 |
Polynomial |
IP |
0.12 |
Lineal |
F |
0.12 |
Polynomial |
LP |
0.10 |
Polynomial |
Gs |
0.10 |
Polynomial |
LL |
0.07 |
Polynomial |
IC |
0.05 |
Lineal |
LC |
0.05 |
Polynomial |
c |
0.02 |
Polynomial |
A |
Conclusions
Based on the analysis of the correlations between geotechnical parameters and the expansive behaviour of clayey soils, the following conclusions are drawn:
Plasticity, expressed through the Atterberg limits, is the most influential factor on expansive behaviour , strongly affecting both expansion percentage and expansion pressure.
Shrinkage parameters, particularly shrinkage limit and shrinkage index, show moderate correlations with expansion, confirming their importance in evaluating expansive soils.
Clay content exhibits the highest correlation with expansion pressure, reinforcing its role as a key predictor of expansiveness.
Other parameters, such as specific gravity, activity, and fines content, present weak or inconsistent relationships, indicating a secondary influence on expansive behaviour.
The integration of plasticity, shrinkage behaviour, and clay fraction into predictive models—while considering regional variations—will enhance the identification of high-risk areas and support effective mitigation strategies in infrastructure projects.
In summary, this preliminary research provides a clearer understanding of the key geotechnical parameters that influence the expansive behaviour of clayey soils. By emphasising plasticity, shrinkage, and clay content as the most reliable predictors, the study establishes a foundation for the development of more accurate predictive models. Such models will not only improve the identification of high-risk areas but also contribute to safer and more cost-effective infrastructure planning in regions affected by expansive soils.
7. References
[1] G. A. Al-Rawas and M. F. A. Goosen, Expansive Soils: Recent Advances in Characterization and Treatment. Boca Raton, FL: CRC Press, 2005. View Article
[2] J. J. Rojas Foinquinos and J. E. Alva Hurtado, “Arcillas y lutitas expansivas en el norte y nororiente peruano,” Laboratorio de Geotecnia, Pontificia Universidad Católica del Perú, 1987.
[3] J. D. Nelson and D. J. Miller, Expansive Soils: Problems and Practice in Foundation and Pavement Engineering. New York: John Wiley & Sons, 1992.
[4] F. H. Chen, Foundations on Expansive Soils. Amsterdam: Elsevier, 1988.
[5] W. G. Holtz and H. J. Gibbs, “Engineering properties of expansive clays,” Trans. Am. Soc. Civil Eng., vol. 121, no. 1, pp. 641-677, 1956. View Article
[6] NTP 339.15, Preservación y transporte de muestras de suelos. Lima, Perú, 2001.
[7] A. Sridharan and K. Prakash, “Classification procedures for expansive soils,” Proc. Inst. Civ. Eng. Geotech. Eng., vol. 143, no. 4, pp. 235-240, 2000. View Article
[8] A. W. Skempton, “The colloidal activity of clays,” in Proc. 3rd Int. Conf. Soil Mech. Found. Eng., 1953.
[9] B. M. Das, Principles of Foundation Engineering, 8th ed. Boston, MA: Cengage Learning, 2015.
[10] R. D. Holtz and W. D. Kovacs, An Introduction to Geotechnical Engineering. Englewood Cliffs, NJ: Prentice Hall, 1981.
[11] M. Habib, A. Habib, and B. Alibrahim, “Prediction and parametric assessment of soil one-dimensional vertical free swelling potential using ensemble machine learning models,” Adv. Model. Simul. Eng. Sci., vol. 11, no. 26, 2024. [Online]. Available: View Article
[12] E. Akis et al., “Predictive models for treated clayey soils using waste materials,” Neural Comput. Appl., 2024. [Online]. Available: https://link.springer.com/article/10.1007/s00521-024-09919-0
[13] G. Bekdaş, Y. Aydın, S. M. Nigdeli, İ. S. Ünver, W.-W. Kim, and Z. W. Geem, “Modeling soil behavior with machine learning: static and cyclic properties of high plasticity clays treated with lime and fly ash,” Buildings, vol. 15, no. 2, p. 288, 2025. [Online]. Available: View Article
[14] E. Díaz and R. Tomás, “Predicting clay swelling pressure: a comparative analysis of advanced symbolic regression techniques,” Appl. Sci., vol. 15, no. 10, p. 5603, 2025. [Online]. Available: View Article
[15] R. Paranthaman, J. Suchan, and S. Azam, “Spatial variability during shrinkage testing of expansive clays,” Geotechnics, vol. 3, no. 1, pp. 43–56, 2023. [Online]. Available: View Article